• Kontakt
  • Karriere
  • AGB
  • Zahlungsformular
  • DE
  • EN
  • CN

Black cat logo Langer EMV-Technik

  • Über uns
    • Firma
      • Karriere
      • AGB
      • Firmenprofil
      • Meilensteine
    • Distributoren
      • Asien
      • Europa
      • Nord Amerika
    • Kontakt
    • Anfahrt
    • Förderungen
    • Veranstaltungen
    • Zahlungsformular
  • Produkte
    • PCB-Störfestigkeit
      • Entwicklungssystem Störfestigkeit
      • Mini - Burstfeldgeneratoren
      • Zubehör EFT/Burst Generatoren IEC 61000-4-4
      • Optische Signalübertragung
      • Burstdetektor
    • PCB-Störaussendung
      • Entwicklungsbegleitende Messtechnik
      • Nahfeldsonden
      • Vorverstärker
      • Nahfeldmikrosonden
      • Optische Signalübertragung
    • IC Test System
      • IC Testumgebung
      • Störaussendung
      • Störfestigkeit
      • Simulation
    • IC Sicherheit
      • Fault Injection
      • Seitenkanalanalyse
      • Positioniersysteme
    • Positioniersysteme
      • Langer Scanner
      • Zubehör für Langer Scanner
      • Nahfeld-Scannersonden
    • Software
      • CS-Scanner, Software ChipScan-Scanner / USB
      • CS-ESA set, Software ChipScan-ESA / USB
    • Mess- und Kalibrierplätze
      • PCB
      • IC
      • Steckverbinder
    • Messtechnik für Lehre und Ausbildung
      • EMC-Basic 1 set, Demonstrationsboards Mini-Burstfeldgeneratoren
      • EMC-Basic 2 set, Demonstrationsboards Nahfeldsonden
      • DB 20 set, Demo Board 20
      • D10 set, EMV Demonstrationselektronik
  • Seminare
    • SF-GE, EMV Experimentalseminar Störfestigkeit Grundlagen & Entstörung (3 Tage)
    • SA-GE, EMV Experimentalseminar Störaussendung Grundlagen & Entstörung (3 Tage)
    • SF IHS, EMV Inhouseseminar Störfestigkeit 3 Tage
    • SA IHS, EMV Inhouseseminar Störaussendung 3 Tage
    • Terminübersicht
  • Dienstleistungen
    • EMV Workshops
    • IC-EMV Analyse
      • Störaussendung
      • Störfestigkeit
    • EMV Analyse
      • SMM Langer, Messung der elektromagnetischen Abschirmung nach dem Langer-Verfahren
      • COCI, Messung der Koppelinduktivität von Steckverbindern und Kabeln
    • EMV-B, EMV-Beratung und Elektronikentstörung
  • EMV-Wissen
    • Downloads
    • Fachartikel Board-EMV
      • Basiswissen
      • Störfestigkeit
      • Störaussendung
    • Fachartikel IC-EMV
      • Basiswissen
      • Störfestigkeit
      • Störaussendung
    • Langer EMV-Technik in der wissenschaftlichen Forschung
    • Newsletter
      • 17 ESA1 set
      • 16 ICI-DP sets
      • HF-Einkopplung - Praxisbeispiel Störfestigkeit - Rückblick EMV Köln 2026
      • 15 Schirmzelt und GP 23 set
      • 14 Mini-Burstfeldgeneratoren im Westentaschenformat
      • 13 Störfestigkeit EMV Schwachstellensuche:
      • 12 ICR: Nahfeldanalyse im Mikrometerbereich und ihre Vorteile
      • 11 ChipScan-ESA unterstützt nun mehr Messgeräte
      • 10 P512 und DPI
      • 09 Surface Scan on IC Level with high Resolution
      • E2 set Markteinführung
      • 08 ESD und effizientes elektronisches Design
      • 07 EMV-Messtechnik zur Prüfung integrierter Schaltungen - Eine Einführung
      • 06 Messung der Schirmdämpfung auf IC-Ebene mit dem IC-Testsystem P1402/P1502
      • 05 Zeit- und Kostenersparnis bei der Aufnahme und Dokumentation von HF-Messungen mit Spektrumanalysatoren
      • 04 Strahlungsgebundene Störaussendung von PCB-Ebene - Eine Einführung
      • 03 Entstörung eines mit PWM betriebenen Gleichstrommotors
      • 02 XF Nahfeldsonden und LVDS Entstörung
      • 01 MFA Mikrosonden und LVDS Entstörung
    • Videos
      • Produktanwendung
      • EMV Webinar
  • PCB-Störfestigkeit
  • PCB-Störaussendung
  • IC Test System
  • IC Sicherheit
  • Positioniersysteme
  • Software
    • CS-ScannerSoftware ChipScan-Scanner / USB
    • CS-ESA setSoftware ChipScan-ESA / USB
  • Mess- und Kalibrierplätze
  • Messtechnik für Lehre und Ausbildung
  • Produkte
  • Software
  • ESA1 set, Entwicklungssystem Störaussendung
  • HFW 21, HF-Stromwandler

HFW 21

HF-Stromwandler

  • Kurzbeschreibung
  • Technische Parameter
Anfrage senden Datenblatt
  • HFW 21, HF-Stromwandler
  • Anwendung
    Anwendung
HFW 21, HF-Stromwandler Anwendung
  • HFW 21, HF-Stromwandler
  • Anwendung
Kurzbeschreibung

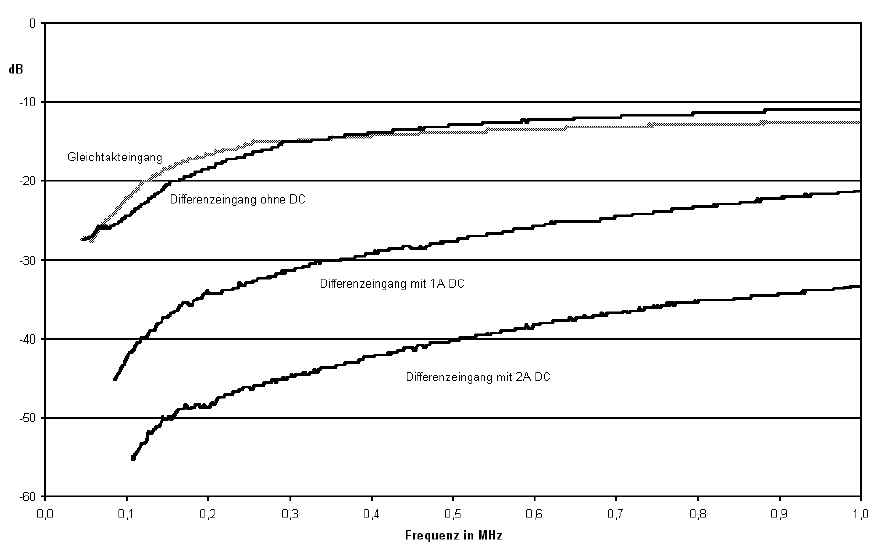
Der HF-Stromwandler misst hochfrequente Ströme auf Leitungen des Prüflings. Er leitet diese Ströme auf die Grundplatte ab und ermöglicht die getrennte Messung von Gleichtakt- und Gegentaktströmen. Das kann bei der Optimierung von Schaltnetzteilen von Vorteil sein. Das Ausgangssignal des HFW 21 kann durch den Vorverstärker PA 203 oder PA 303 verstärkt werden.

Der HF-Stromwandler HFW21 wird in die Stromversorgungszufuhr des Prüflings geschaltet. Die Störungen auf der Stromversorgungsleitung werden vom Stromwandler des HFW 21 gemessen. Das Messsignal wird an einen Spektrumanalysator weiterleitet. Zur Messung wird der Stromwandler mit seiner Kontaktfläche auf der Grundplatte GP 23 kontaktiert.

Technische Parameter
Frequenzbereich 100 kHz - 1 GHz
Dauerbelastbarkeit
Strom 10 A
Spannungsfestigkeit 50 V
Maße (L x B x H) (115 x 65 x 28) mm
Frequenzgang Frequenzgang Frequenzgang
Frequenzgang (Detail) Frequenzgang (Detail) Frequenzgang (Detail)
  • © Langer EMV-Technik
  • Kontakt
  • Impressum
  • Datenschutzerklärung
  • Förderungen
  • YouTube
  • Linked-In
Europäischer Fonds für regionale Entwicklung EFRE - Europäischer Sozialfonds ESF