• Contact us
  • Career
  • Terms and Conditions
  • Payment form
  • DE
  • EN
  • CN

Black cat logo Langer EMV-Technik

  • 关于我们
    • 公司
      • Career
      • Terms and Conditions
      • Company Profile
      • Milestones
    • 经销商
      • Asia
      • Europe
      • North America
    • Contact us
    • Map and Travel Information
    • Sponsoring
    • Events
    • Payment form
  • 产品
    • 印刷电路板的抗干扰性
      • 抗干扰开发系统
      • 用于开发过程的发生器
      • 配件(猝发 / 电快速瞬变脉冲发生器 IEC 61000-4-4)
      • 光信号传输
      • 猝发脉冲序列探测器
    • 印刷电路板的干扰发射
      • 用于开发过程的测试技术
      • 近场探头
      • 前置放大器
      • Near-Field Microprobes
      • 光信号传输
    • 集成电路测试技术
      • 集成电路的测试环境
      • 干扰发射
      • 集成电路的抗干扰性
    • IC Security
      • Fault Injection
      • Positioning systems
    • 扫描仪
      • Langer 扫描仪
      • Accessories for Langer Scanner
      • Near-field Scanner Probes
    • 软件
      • CS-Scanner, ChipScan-Scanner 软件
      • CS-ESA set, ESA芯片扫描软件
    • 测试及校准工作台
      • 印刷电路板
      • 集成电路
      • 连接器
    • 测试技术的学习和培训
      • EMC-Basic 1 set
      • EMC-Basic 2 set
      • DB 20 set
      • D10 set
  • 研讨班
    • SF-GE, SF-GE
    • SA-GE, SA-GE
    • SF IHS
    • SA IHS
    • Dates Overview
  • 服务
    • 电磁兼容性讲座
      • WS ESA1
      • WS IC
      • WS PCB
      • WS Scanner
      • 集成电路的电磁兼容性干扰发射分析
      • 集成电路的电磁兼容性抗干扰分析
      • SMM Langer
      • COCI
    • EMV-B, 咨询 / 电子干扰排除
  • 电磁兼容性知识
    • 专业文献:Board-EMC
      • 集成电路的电磁兼容性抗干扰分析
      • 集成电路的电磁兼容性干扰发射分析
    • 专业文献: IC-EMC
      • 集成电路的电磁兼容性抗干扰分析
      • 集成电路的电磁兼容性干扰发射分析
    • Langer EMV-Technik in scientific research
    • 资讯
      • 17 ESA1 set
      • 16 ICI-DP sets
      • 15 tent and GP 23 set
      • 14 Mini Burst Field Generators in pocket size
      • 13 Achieve interference immunity by identifying and eliminating EMC weak points:
      • 12 ICR: Near-field analysis in the micrometer range and its advantages
      • 11 ChipSan-ESA now supports more measuring devices
      • 10 P512 and DPI
      • 09Surface Scan on IC Level with high Resolution
      • 08 ESD and Efficient Electronic Design
      • 07 EMC Measurement Technology for Testing Integrated Circuits - An Introduction
      • 06 Measuring the Shielding Effectiveness at IC Level with the IC Test System P1402/P1502
      • 05 Time and cost savings when recording and documenting RF measurements with a spectrum analyzer
      • 04 Radiated Emissions at the PCB Level - An Introduction
      • 03 消除脉宽调制 (PWM) 直流电机的电磁骚扰
      • 使用朗格尔(Langer EMV-Technik GmbH)近场探头实现至6 GHz的测量
      • 01 EMC实用技巧和建议 如何使用近场探头抑制LVDS连接的干扰
    • 视频
      • 产品用途
      • 研讨会
  • 印刷电路板的抗干扰性
  • 印刷电路板的干扰发射
    • 用于开发过程的测试技术
      • ESA1 set干扰放射开发系统
      • HFW 21 set高频换流器(100KHz-1GHz)
      • Z23-1 set屏蔽篷(900x500x400 mm)
      • Z23-2 set
      • NNB 21 set线阻抗稳定网络
    • 近场探头
    • 前置放大器
    • Near-Field Microprobes
    • 光信号传输
  • 集成电路测试技术
  • IC Security
  • 扫描仪
  • 软件
  • 测试及校准工作台
  • 测试技术的学习和培训
  • 产品
  • 印刷电路板的干扰发射
  • 用于开发过程的测试技术
  • HFW 21 set, 高频换流器(100KHz-1GHz)
  • HFW 21, 射频电流转换器

HFW 21

射频电流转换器

  • Short description
  • Technical parameters
Send enquiry Datasheet
  • HFW 21, 射频电流转换器
  • Application
    Application
HFW 21, 射频电流转换器 Application
  • HFW 21, 射频电流转换器
  • Application
Short description

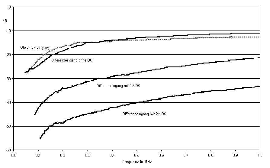
射频电流转换器可以测量受试设备线路中的高频电流。它将电流导向接地板,从而独立测量同步电流和推挽电流。在优化逻辑电路元件方面具备一定优势。通过PA 203和PA 303 可以放大HFW 21 的输出信号。

To use the HFW 21 RF current-transformer it must be connected to the power supply of the device under test. Interferences along the power supply lines are measured by HFW 21. The measuring signal is transmitted to a spectrum analyzer. The current transformer’s contact surface must be connected to the GP 23 when measuring.

Technical parameters
频率范围 100 kHz - 1 GHz
持久载荷能力
电流 10 A
耐压强度 50 V
尺寸 (L x W x H) (115 x 65 x 28) mm
频率特性 频率特性 频率特性
频率特性(细节) 频率特性(细节) 频率特性(细节)
  • © Langer EMV-Technik
  • Contact us
  • Legal notice
  • Privacy policy
  • Sponsoring
  • facebook
  • YouTube
  • Linked-In
  • Twitter
Europäischer Fonds für regionale Entwicklung EFRE - Europäischer Sozialfonds ESF